行业动态

当前位置:首页>新闻中心>行业动态
全部 77 国家政策 13 行业动态 21 会议通知 2

深度解析2024年ISO新公布的15种创制农药品种

时间:2025-02-03   访问量:1485

来源:《世界农药》2025年01期  作者:谭海军

英文通用名获国际标准化组织(ISO)批准的农药新品种在全球的研究开发和应用推广具有重要意义。2024年,ISO批准并公布了15种农药新品种的英文通用名,其中杀虫/螨剂6种:bentioflumin(苯苄螨胺)、cybenzoxasulfyl、flumetnicam、tiapyrachlor、trioxyflanilide(氟溴虫酰胺)和vadescana;杀菌/线虫剂7种:bifemetstrobin、feneptamidoquin、fenopyramid(苯醚唑酰胺)、fluquinometoate(氟喹菌酯)、galquin、sulfoxamyl(氧线威)和β-sitosterol(甾烯醇);除草剂2种:cinflubrolin(氟溴草醚)和isoxafenacil(苯嘧草唑)。


2024年ISO批准并公布的来自中国、日本、美国、瑞士和意大利农药公司申请的15种农药新品种的英文通用名(表1),其中8种农药为中国创制的新品种,具体有杀虫/螨剂苯苄螨胺和氟溴虫酰胺,杀菌/线虫剂苯醚唑酰胺、氟喹菌酯、氧线威和甾烯醇,除草剂氟溴草醚和苯嘧草唑。甾烯醇已在中国注册登记和上市销售,其他产品的产业化开发和登记应用已在开展中。


表1 2024年ISO公布的15种农药新品种

QQ20250127-134912.png

注:a为化合物专利申请日;b为外消旋体CAS登录号2132414-04-9;c为混合物;d为C3568H4399N1439O2569PP372(正义链)和C3500H4363N1317O2641PP372(反义链);e为作为首选英文通用名被批准。


1 杀虫/螨剂 


按化学结构和作用机制类型,ISO在2024年新公布的6种杀虫/螨剂可分为三氟乙基硫醚、吡啶基苯并噁唑、烟酰胺、吡啶基吡唑酰胺、间苯二甲酰胺(或间甲酰氨基苯甲酰胺)和RNA 6大类。


1.1 三氟乙基硫醚类杀螨剂


苯苄螨胺是继氟螨双醚(bisulflufen)后第2个获ISO批准的中国自主创制的三氟乙基硫醚类杀螨剂,具有独特的化学机构,推测其作用机制与氟螨双醚、以及三氟乙基亚砜类杀螨剂sulfiflumin和flupentiofenox类同,为线粒体脂肪代谢和能量生成抑制剂。室内生测结果表明,苯苄螨胺在6.25、3.12 mg/L时对朱砂叶螨的致死率均>90%(72 h),且在低质量浓度时的活性优于丁氟螨酯和联苯肼酯。据开发公司报道,苯苄螨胺具有胃毒和触杀活性,以及一定的叶片渗透性,对不同生长发育阶段的植食性螨均有效,速效性好且持效性长达25 d以上。苯苄螨胺可能创制思路与合成路线见图1。


QQ20250127-135230.png

图1 苯苄螨胺的创制思路和合成路线(X为卤素或甲磺酸基)


1.2 吡啶基苯并唑类杀虫剂


Cybenzoxasulfyl(开发代号NNI-2101)是日本农药株式会社研发的含乙磺酰基吡啶和苯并噁唑结构的新型杀虫剂,可视为对oxazosulfyl的吡啶基团和三氟磺酰基进行修饰得到,在化学结构上与indazapyroxamet也具有一定相似性。据报道分析,cybenzoxasulfyl具有内吸和杀卵活性,对多种作物上的鳞翅目、半翅目和鞘翅目害虫均有效且对现有药剂产生耐药性的害虫防效优异。推测cybenzoxasulfyl的作用机制类同oxazosulfyl,为状态依赖性电压门控钠通道阻滞剂和囊泡乙酰胆碱转运蛋白(VAChT)抑制剂。室内生测结果表明,cybenzoxasulfyl在500 mg/L剂量下,对桃蚜(6 d)、灰飞虱(8 d)和小菜蛾卵(6 d)的防效均达100%。进一步的研究结果表明,cybenzoxasulfyl按10 mg/L喷雾处理对棉蚜和桃蚜成虫的防效分别为69%~96.6%(6~11 d)、66.2%(4 d),与tiadinil、氟苯双酰胺(flubendiamide)、indanofan、螺虫乙酯(spirotetramat)和其他多种农药混用对稻瘟病、小菜蛾、鸭舌草、褐飞虱和蚜虫等防控具有协同增效作用。在公共卫生方面的活性测试结果表明,cybenzoxasulfyl按5 mg/m2残留暴露处理对德国小蠊若虫(1 d)和雌性冈比亚按蚊(4 d)和白蚁的防效均达100%,按100 mg/m2残留暴露处理对小黄家蚁(3 d)的防效也达100%。由于注册和盈利可预期,该产品正在日本、韩国和印度等国开展应用研究与注册登记。Cybenzoxasulfyl以(R)-对映体为主,熔点58~60℃,其可能创制思路与合成路线见图2,合成可共用oxazosulfyl的中间体。


QQ20250127-135434.png

图2 Cybenzoxasulfyl的创制思路与合成路线


1.3 烟酰胺类杀虫剂


Flumetnicam(文献代码TFNA-AM)是由日本石原产业株式会社(ISK)最先研发报道的杀虫剂,后被证实也是氟啶虫酰胺在靶标害虫体内的活化代谢物。据报道,flumetnicam具有优异的根内吸活性,其作用机制与氟啶虫酰胺相同,为烟酰胺酶抑制剂,即通过烟酰胺的累积间接激活弦音器瞬时受体电位香草酸亚型(TRPV)通道发挥杀虫活性,与吡蚜酮、吡啶喹唑啉、双丙环虫酯和嗪虫唑酰胺无交互抗性或很低交互抗性风险。室内生测结果表明,flumetnicam在800 mg/L时对桃蚜若虫(5 d)和棕榈蓟马成虫(8 d)的杀死率均为100%。在中国的进一步研究结果表明,flumetnicam对桃蚜若虫、水稻褐飞虱若虫和白粉虱1~2龄若虫的半致死浓度(LC50,mg/L)分别为2.62 (3 d)、1.51 (10~15 d)和1.71 (3 d),且与吡蚜酮或螺虫乙酯混用具有显著的协同增效作用。由于比氟啶虫酰胺具有更快的击倒作用,先正达公司将flumetnicam作为卫生杀虫剂进行开发,相关研究结果表明,该杀虫剂可通过击倒或食血抑制控制携带疾病的或食血性(摄食血液)的蚊、蝇、臭虫和猎蝽等双翅目、锥猎蝽亚科和臭虫科等多类别卫生害虫。然而,埃及伊蚊等昆虫表皮穿透性降低会降低其对flumetnicam的敏感性;对于冈比亚按蚊,flumetnicam与氟啶虫酰胺存在交互抗性,但2者与氯菊酯都无交互抗性。在美国和欧盟等国家和地区,flumetnicam被作为氟啶虫酰胺在食品中的残留定义物。Flumetnicam熔点162.7℃,可制成50%WP和WG,可能创制思路和不同合成路线见图3,合成可共用氟啶虫酰胺的中间体,推测其生产成本比氟啶虫酰胺低。


QQ20250127-135641.png

图3 Flumetnicam的创制思路和合成路线


1.4 吡啶基吡唑酰胺类杀虫剂


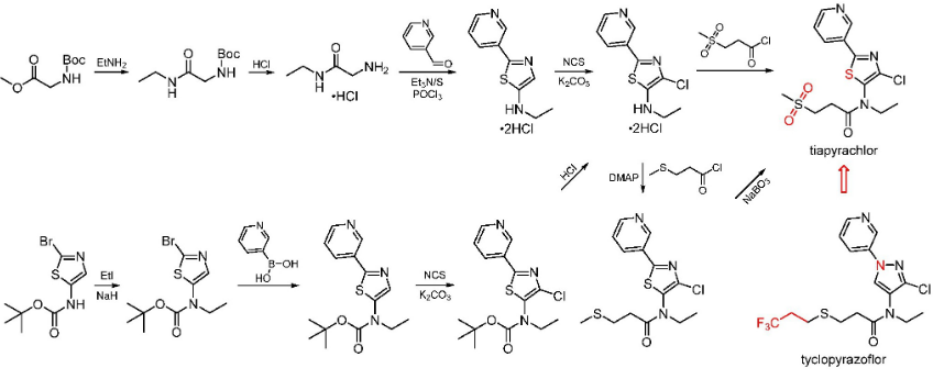
Tiapyrachlor(开发代号X12019747、XR-120和XDE-120)是科迪华公司继tyclopyrazoflor之后开发的又一吡啶基吡唑酰胺类杀虫剂,可视为用噻唑和甲磺酰基对后者进行修饰得到。推测tiapyrachlor的作用机制与tyclopyrazoflor类同,主要通过干扰昆虫的神经传递系统而使昆虫行为失常并最终死亡。与直接或间接作用于弦音器TRPV通道的杀虫剂类同,tiapyrachlor对刺吸式口器害虫具有突出的选择活性。室内生测结果表明,tiapyrachlor 200 mg/L对无翅桃蚜成虫、若虫(3 d)和烟粉虱若虫(8~9 d)的杀死率≥80%。进一步的研究结果表明,tiapyrachlor在低剂量时对桃蚜(0.078~1.25 mg/L)和烟粉虱(0.01~0.1 mg/L)具有一定杀虫活性,但在400~4000 mg/L的高剂量时却对西花蓟马、西部牧草盲蝽(Lygus hesperus)、新热带棕椿象(Euschistus heros)和甜菜夜蛾的活性较低或没有活性,与包括直接或间作用于弦音器TRPV通道的杀虫剂在内的多种杀虫剂混用都具有显著的增效作用。Tiapyrachlor可能创制思路和2条合成路线见图4,合成可共用tyclopyrazoflor的中间体。


QQ20250127-135745.png

图4 Tiapyrachlor的创制思路和合成路线


1.5 间苯二甲酰胺类杀虫剂


浙江宇龙药业有限公司开发的氟溴虫酰胺(开发代号SYN2971)是继环丙氟虫胺(cyproflanilide)和多氟虫双酰胺(piperflanilide)后,中国自主创制的第3款通用名获ISO批准的间苯二甲酰胺类杀虫剂,熔点152.4~153.2℃。该杀虫剂可视为用甲氧乙基对环丙氟虫胺(cyproflanilide)的环丙烷甲基进行修饰得到,推测其作用机制与溴虫氟苯双酰胺(broflanilide)、环丙氟虫胺和多氟虫双酰胺相同,为γ-氨基丁酸门控氯离子通道变构调节剂。室内生测结果(表2)表明,氟溴虫酰胺对鳞翅目害虫小菜蛾、二化螟和草地贪夜蛾的敏感和抗性种群幼虫具有高杀虫活性,无论是速效性还是低浓度的害虫杀死率都优于溴虫氟苯双酰胺。氟溴虫酰胺可能创制思路与合成路线见图5,以2-氟-3-氨基苯甲酸甲酯计,先酰胺化路线和后酰胺化路线总收率分别为90.3%、78.6%,合成可共用溴虫氟苯双酰胺、环丙氟虫胺和多氟虫双酰胺的中间体,使用乙醇、异丙醚或乙二醇单甲醚重结晶所得晶体晶型一致且稳定性好。


表2 氟溴虫酰胺与溴虫氟苯双酰胺的杀虫活性比较

QQ20250127-135835.png


QQ20250127-135954.png

图5 氟溴虫酰胺的创制思路和合成路线


1.6 RNA类杀螨剂


Vadescana为干扰寄生于蜜蜂体外的狄氏瓦螨(Varroa destructor)性状基因EP15的特异性重组双链核糖核酸(dsRNA),是继ledprona后美国绿灯生物科技公司研发的第2款获ISO批准的RNA类生物农药。狄氏瓦螨的肠道中存在将dsRNA带入细胞并在那里激活正常细胞机制的受体,故vadescana进入后通过特异性地沉默狄氏瓦螨的钙调蛋白基因,使其转录表达受阻或下调而死亡。一般将vadescana的蔗糖溶液置于带孔的密封袋后在春季和秋季于蜂箱内悬挂,蜜蜂在化蛹之前将含有dsRNA的糖浆当成花蜜放入细胞(血淋巴),狄氏瓦螨暴露在那里而取食。Vadescana 2、8 g/L虽不能影响瓦螨若虫和成虫的存活,但可显著降低其繁殖力,使大多数暴露的雌螨不能产生后代。然而,这种抑制作用在短期内(2个月)却不依赖其剂量。


鉴于dsRNA是核苷酸序列特异性,它可以被设计成沉默瓦螨特异性的基因,从而最大限度地减少对蜜蜂和其他非靶标物种的任何意外影响机会。野外试验、环境归宿和生态毒性研究结果也证实,vadescana的残留可以忽略不计,不会对蜜蜂和其他传粉媒介产生不利影响。Vadescana的dsRNA分子在糖浆中快速降解,使其对蜂巢的安全性较高。同时,由于在进食后可被消化系统降解,血液和细胞上的屏障也会降低其生物反应的可能性,vadescana对人类和其他脊椎动物安全。该杀虫剂是含有402个嘌呤和嘧啶碱基对的大分子,由腺嘌呤(A)、胞嘧啶(C)、鸟嘌呤(G)和尿嘧啶(U)构成。其碱基序列见图6,末端ITS共30个碱基对是制造dsRNA所需的序列,在该RNA中没有杀螨活性。推测与其他dsRNA产品类同,vadescana可通过细菌表达和无细胞合成来实现规模化生产。


图6 Vadescana的dsRNA子序列的碱基序列(ITS为内部转录序列)

QQ20250127-140117.png


2 杀菌/线虫剂 


按化学结构和作用机制类型,ISO在2024年新公布的7种杀菌/线虫剂可分为甲氧基丙烯酸酯、喹啉酰胺、吡唑酰胺、喹诺酮酸酯、多酚、氨基甲酸酯和类固醇7大类。


2.1 甲氧基丙烯酸酯类杀菌剂


Bifemetstrobin(开发代号S-2326)是日本住友株式会社开发的新型杀菌剂,其化学结构与嘧菌酯相似,可视为由4-甲基联苯氧基对2-位的芳环进行修饰得到。与其他甲氧基丙烯酸类杀菌剂不同,bifemetstrobin在甲氧基丙烯酸酯和苯环之间插入了氧原子。推测bifemetstrobin的作用机制与甲氧基丙烯酸酯类杀菌剂类同,均为呼吸链线粒体复合物III细胞色素bc1(泛醇氧化酶)外侧Qo位点(cyt b基因)抑制剂。室内生测结果表明,bifemetstrobin在500 mg/L时对水稻稻瘟病(6 d)、小麦白粉病(7 d)、锈病(7 d)、疫病(11 d)和纹枯病(11 d),以及葡萄霜霉病(7 d)、黄瓜白粉病(12 d)的预防效果>90%。Bifemetstrobin与吡唑酰胺和吡啶酰胺类杀菌剂混用具有协同增效作用。进一步的研究结果表明,bifemetstrobin的复配对小麦壳针孢叶枯病菌(Septoria tritici,敏感系及抗性系)、黄瓜白粉病(Sphaerotheca fuliginea)、炭疽病(Colletotrichum lagenarium,敏感系及抗性系)和霜霉病(Pseudoperonospora cubensis,敏感系及抗性系)、番茄叶霉病(Cladosporium fulvum)、大豆锈病(Phakopsora pachyrhizi,敏感系及抗性系)、灰斑病(Cercospora sojina,敏感系及抗性系)和霜霉病(Erysiphe diffusa)、小麦叶锈病(Puccinia recondita)、水稻稻瘟病(Magnaporthe grisea,敏感系及抗性系)、大麦网斑病(Pyrenophora teres,敏感系及抗性系)、豆角菌核病(Sclerotinia sclerotiorum)和大麦云纹病菌(Rhynchosporium secalis,敏感系及抗性系)、玉米灰斑病菌(Cercospora zeae-maydis)和马铃薯早疫病(Alternaria solani)等多种病害均具有较高活性。Bifemetstrobin为(Z)-式异构体,可能创制思路和合成路线见图7,粗品可用二甲苯、二甲苯/甲醇混合液、乙酸乙酯/正己烷混合液重结晶或硅胶柱层析精制提纯。


QQ20250127-140317.png

图7 Bifemetstrobin的创制思路与合成路线


2.2 喹啉酰胺类杀菌剂 


Feneptamidoquin(开发代号SYN551769)在化学结构上与quinofumelin存在较高相似性,可视为由后者的异喹啉开环并将腙基变换为酰胺基、甲基变换为异丁基、二氟去掉后再将氟原子引入至喹啉8-位得到。推测feneptamidoquin的作用机制与quinofumelin类同,为嘧啶从头生物合成途径中的二氢乳清酸脱氢酶(DHODH)抑制剂。室内生测结果(表3)表明,feneptamidoquin及其(S)-对映体和外消旋体在20~200 mg/L时对灰霉病、赤霉病、炭疽病、全蚀病、根腐病、菌核病、稻瘟病、叶枯病、颖斑枯病和网斑病等病害具有良好的预防和治疗效果。同时,feneptamidoquin与吡唑酰胺、三唑、甲氧基丙烯酸酯和二硝基苯胺等类别杀菌剂混用对多种真菌性病害具有较好的防控作用。Feneptamidoquin为(R)-对映体占优势(含量≥80%)的杀菌剂,其外消旋体熔点为110~112℃,可能创制思路和合成路线见图8。Feneptamidoquin可由其外消旋体拆分得到,或由8-氟喹啉-3-甲酰氯与(2R)-2,4-二甲基-1-苯基-戊-2-胺直接反应得到。


表3 Feneptamidoquin及其(S)-对映体和外消旋体的杀菌活性

QQ20250127-140442.png


QQ20250127-140506.png

图8 Feneptamidoquin的创制思路和合成路线


2.3 吡唑酰胺类杀菌剂 


苯醚唑酰胺(开发代号LH-371)是继氟苯醚酰胺(flubeneteram)后又一中国自主创制的吡唑酰胺类杀菌剂。推测苯醚唑酰胺的作用机制与其他吡唑酰胺类杀菌剂类同,也为作用于呼吸链电子传递复合体Ⅱ的琥珀酸脱氢酶抑制剂(SDHI)。室内生测结果表明,苯醚唑酰胺在3.125~100 mg/L时对大豆和玉米锈病、小麦和黄瓜白粉病、水稻纹枯病的防效均达100%(7 d),优于同等剂量下的苯并烯氟菌唑(benzovindiflupyr)、氟唑菌酰胺(fluxapyroxad)、丙硫菌唑和氟环唑。田间试验结果表明,苯醚唑酰胺对黄瓜白粉病的防效优于pyriflumetofen和乙嘧酚,对小麦白粉病的防效优于苯并烯氟菌唑、pyriflumetofen和丙硫菌唑,对大豆锈病优于丙硫菌唑、嘧菌酯而与苯并烯氟菌唑相当。苯醚唑酰胺可能创制思路与合成路线见图9,合成可共用吡唑酰胺类杀菌剂的中间体。


QQ20250127-140803.png

图9 苯醚唑酰胺的创制思路和合成路线


2.4 喹诺酮类杀菌剂 


氟喹菌酯(开发代号LH-363)是山东省联合农药工业有限公司开发的又一新型杀菌剂。从化学结构上看,氟喹菌酯与环丙沙星(ciprofloxacin)噁喹酸(oxilinic acid)等喹诺酮类抗菌药物具有较高的相似性,可视为由环丙沙星进行苯环上的取代基替换和羧基酯化保护得到。推测其作用机制与喹诺酮类抗菌药物类同,为靶向细菌的DNA促旋酶(DNA gyrase)和拓扑异构酶Ⅳ(topoisomeraseⅣ)抑制剂。室内生测结果表明,氟喹菌酯对黄瓜细菌性角斑病、烟草青枯病、马铃薯黑胫病、甘薯茎腐病、水稻白叶枯病、西瓜果斑病、大白菜黑腐病和软腐病、木薯细菌性枯萎病、梨火疫病等细菌性病害的离体抑菌活性(1 mg/L)和活体保护效果(5 mg/L)均>90%,都显著优于喹啉铜和中生菌素;在200 mg/L时对作物安全且可促进作物生长发育(生长速率、叶绿素和叶面积都增加)。氟喹菌酯可能创制思路和合成路线见图10,其合成可以环丙沙星的关键中间体为起始原料。 


QQ20250127-141010.png

图10 氟喹菌酯的创制思路与合成路线


2.5 多酚类杀菌/线虫剂

Galquin是意大利天然植物提取物公司施华团队股份公司(Silvateam S.p.A.)研发的新型生物杀菌剂和杀线虫剂。该生物农药是从豆科植物刺云实(Tara spinosa或Caesalpinia spinosa)豆荚中提取得到的多酚类混合物,主要成分为奎宁酸及其与没食子酸单体、二聚体和三聚体形成的酯的多种混合物。推测其可能具有多靶标位点和独特的作用机制。Galquin早先作为生物刺激素被报道,其单用或与含阳离子的有机/矿物盐混用喷雾或种子处理生菜、西红柿、葡萄、大豆和苜蓿等作物,可有效缓解水、热和药害等非生物胁迫和线虫引起的生物胁迫,增强光合作用,提升作物的硬度和生产力(重量和品质)。后来进一步的研究结果表明,galquin与皂苷混用具有协同增效作用,2者混合液进行种子处理可有效控制根结线虫及由其介导传播的土传病害。Galquin的化学结构见图11,其中奎宁酸和没食子酸二聚体形成的酯与单宁(tannin)存在一定相似性。

QQ20250127-145012.png

图11 Galquin的化学结构及与单宁的比较


2.6 氨基甲酸酯类杀菌/线虫剂 


氧线威是由杜邦公司(Dupont,现科迪华公司)最先研究报道而由中国公司开发的新型杀线虫剂,可视为由杀线威(oxamyl)进一步将硫醚氧化至砜得到。推测其作用机制与杀线威一致,为乙酰胆碱酯酶(ACh E)抑制剂。氧线威对哺乳动物低毒,在自然环境中易水解,其安全性优于杀线威。氧线威既可预防藻菌纲类真菌引起的多种作物病害,也可用于线虫防控。研究结果表明,南方根结线虫2龄幼虫的LC50为7.41~12.52 mg/L (24~72 h),90%致死浓度(LC90)为36.84~56.41 mg/L (24~72 h),对南方根结线虫卵孵化的半抑制浓度(IC50)和90%抑制浓度(IC90)分别为59.48、510.84 mg/L (7 d),生物活性优于杀线威和噻唑膦。氧线威为(Z)-式异构体,可由杀线威的关键中间体杀线威肟先氧化后再酯化得到,或直接由杀线威氧化得到(图12)。 


QQ20250127-141134.png

图12 氧线威的创制思路和合成路线


2.7 类固醇类杀菌剂 


甾烯醇又名β-谷甾醇,为植物源病毒抑制剂,被植物叶片吸收后钝化病毒并抑制其复制,同时诱导寄主植物产生抗性(如提高苯丙氨酸酶、超氧化物歧化酶和过氧化物酶等抗病相关保护酶的活性,以及PR-1a和PR-5等抗病相关基因的表达量)而阻止病毒侵染。室内生测研究结果表明,甾烯醇在500mg/L时对烟草花叶病毒的治疗活性为45.6%(3~5d),在100 mg/L时对预防保护和钝化番茄斑萎病毒的抑制率分别为37.3%、8.8%(5 d),分别优于和不敌宁南霉素。进一步的研究结果表明,7.2%甾烯醇SL按剂量3000 m L/hm2从发病初期开始施用3次(每次间隔7 d)对番茄花叶病毒病的防效达到72.3%,优于20%盐酸吗啉胍+乙酸铜WP。对小麦黄矮病的研究结果表明,甾烯醇的半效应浓度(EC50)为3.385 mg/L,田间按15 mg/L喷施2 d的预防和治疗防效分别为82.63%、76.16%。甾烯醇的制剂0.66%TK和0.06%ME已获中国农业农村部登记批准,相关用法见表4,应注意于病毒病发病前或初期施用,并配合杀虫剂使用以切断传播虫媒。甾烯醇可由棉籽油泥、烟草或锦葵科(Malvaceae)等植物提取得到。以锦葵科植物为例,可将其枝叶和树皮粉碎、加水浸泡后用乙酸乙酯提取并减压浓缩得到,其化学结构见图13,与28-高芸苔素内酯具有较高的相似性。 


 表4 0.06%甾烯醇ME在中国登记的使用方法

QQ20250127-141300.png


3 除草剂 


按化学结构和作用机制类型,ISO在2024年新公布的2种除草剂可分为苄基醚和N-苯基酰亚胺(或苯基尿嘧啶)2大类。


3.1 苄基醚类除草剂


氟溴草醚是青岛清原化合物公司创制的又一新型除草剂,可视为对环庚草醚(cinmethylin)的苯环进行取代修饰得到。该除草剂的作用机制类同环庚草醚,为脂肪酸硫酯酶(FAT)抑制剂。室内生测结果表明,氟溴草醚按30、60 g/hm2苗前处理对黑麦草、看麦娘、菵草和狗尾草等禾本科杂草的生长抑制率≥90%(28 d),同时对花生、大豆、玉米和棉花等作物安全;按7.5 g/hm2苗后处理可完全杀死抗吡嘧磺隆的稻稗和稗草(14 d),在剂量30 g/hm2时对水稻安全。由于与当前主流除草剂无交互抗性,氟溴草醚单用对水稻田和小麦田间抗ALS抑制剂类除草剂的鸭舌草、丁香蓼、黑麦草、看麦娘、菵草和异型莎草等禾本科杂草和莎草具有极高活性,与其他除草剂混用对甘蔗、油菜、马铃薯、果树和蔬菜田间的多种禾本科和阔叶杂草也具有显著的协同增效作用。据报道,该除草剂可用于水稻、小麦、玉米、大豆和花生及部分阔叶蔬菜作物田间杂草封闭,在水稻移栽、旱直播和水直播田间使用对稗草、稻稗、千金子和马唐等主要禾本科杂草及部分莎草科杂草的封闭效果突出,在水田苗后早期对低龄杂草也有一定防效。氟溴草醚是(1S,2R,4R)-对映体和(1R,2S,4S)-对映体占优势(2者总含量≥50%)的除草剂,且这2种对映体的除草活性大致相当。氟溴草醚可能的创制思路和合成路线见图14,合成可共用环庚草醚的关键中间体。


QQ20250127-141451.png

图13 甾烯醇的化学结构及与28-高芸苔素内酯的比较


QQ20250127-141502.png

图14 氟溴草醚的创制思路与合成路线(X为溴或氯)


3.2 N-苯基酰亚胺类除草剂


苯嘧草唑(试验代号SYP-3301、SYP-3356,开发代号SY-1604、JS-T205)是沈阳中化农药化工研发有限公司采用″中间体衍生化法″经过多轮DSTA(设计-合成-测试-分析)发现并由南通江山农药化工有限公司独家开发的新型除草剂。苯嘧草唑可视为由苯嘧磺草胺(saflufenacil)环合后进一步修饰得到,也属于原卟啉原氧化酶(PPO)抑制剂。研究结果表明,苯嘧草唑可制成35%EC和60%WG,对多种单子叶、双子叶杂草都具有较高活性,室内和田间药效都优于同剂量的苯嘧磺草胺。其中,苯嘧草唑7.5 g/hm2室内苗后处理对2~3叶期稗草、金色狗尾草和4叶期马唐,2~4叶期百叶草、苘麻和反枝苋,以及5叶期水莎草等杂草都具有70%以上的防效;苯嘧草唑60 g/hm2田间处理对果园禾本科杂草、阔叶杂草以及全部禾本科和阔叶的田间防效都在61.7%以上。特别地,苯嘧草唑可有效防除抗性牛筋草和小飞蓬,单用或与草甘膦等其他除草剂混用可有效防除小麦、水稻、玉米、大豆、棉花和油菜等作物田间的杂草。先正达公司于2018年在美国进行的田间试验结果表明,苯嘧草唑的防效优于草铵膦、苯嘧磺草胺、唑草酮和丙炔氟草胺,且对禾本科杂草防效优异。预计该除草剂于2025年上市,由开发公司和先正达公司共同进行全球市场开发。苯嘧草唑含有1个手性中心,对哺乳动物、蜜蜂、鸟类、鱼类、溞类和家蚕的急性毒性较低且易分解,其可能的创制思路和合成路线见图15,合成可共用苯嘧磺草胺、氟嘧硫草酯(tiafenacil)和epyrifenacil等的关键中间体。


QQ20250127-141726.png

图15 苯嘧草唑的创制思路和合成路线(X为卤素)


4 总结与展望 


农药新品种的研究开发、登记上市与推广应用为农民和种植者提供了更多可供选用的工具,有利于克服有害生物耐药性增强和农药注册监管趋严带来的挑战,实现农药减量增效和生物多样性保护的目标,为维持农业及经济社会的可持续发展、保障粮食安全提供重要支撑。虽然农药新品种的商业化还涉及生产研发投入、应用技术探索、田间药效评估和注册登记推广等众多方面,但向ISO申请并获取国际英文通用名是将具有潜在开发价值的农药新品种推向国际市场的重要一步,也是对农药进行管理的重要环节。结合我们之前的报道进行统计(图16),1998—2024年ISO先后批准并公布了292种农药新品种的英文通用名,其中涉及中国创制农药50种,约占总数17.1%。从数量趋势上看,全球获批的农药新品种在逐年下降而中国在持续上升。在此趋势之下,作为农业领域中国承担的首个国际秘书处,国际标准化组织农药命名技术委员会(ISO/TC81)秘书处也在2024年成功落户中国,并于9月1日起从英国标准协会(BSI)正式接管该秘书处及ISO1750和ISO765维护机构的工作。这将进一步促进中国农药创制的快速发展和走向世界。 


QQ20250127-141757.png

 图16 1998-2024年ISO公布的农药新品种数量及其趋势

注:a)图中虚线为excel线性拟合的趋势线;b)不含国际非专利药名(INN)品种;c) 2018年含1个硝化抑制剂pronitridine。


分析2024年ISO新公布的品种,新农药研究开发呈现如下特点和趋势:bifemetstrobin、氟溴草醚、cybenzoxasulfyl、feneptamidoquin、苯嘧草唑、氧线威和甾烯醇为立体异构体,其中bifemetstrobin和氧线威为(Z)-式异构体,cybenzoxasulfyl和feneptamidoquin为(R)-对映体或以该对映体为主,氟溴草醚以(1S,2R,4R)-和(1R,2S,4S)-对映体占优势;苯苄螨胺、苯醚唑酰胺、氟溴草醚、cybenzoxasulfyl、flumetnicam、氟喹菌酯、苯嘧草唑、氧线威、tiapyrachlor和氟溴虫酰胺都可共用已有的原药或原料药的关键中间体进行合成,氧线威还可由杀线威直接氧化得到;苯苄螨胺、cybenzoxasulfyl、galquin、tiapyrachlor和vadescana等很可能具有不同于传统农药的作用机制,有望成为有害生物综合治理和抗性防治的新工具。作为农药未来发展的重要方向,生物农药是值得重点投入进行研究和开发的领域,如本次批准公开的RNA类杀螨剂vadescana、天然多酚类杀菌/线虫剂galquin以及天然类固醇类抗病毒剂甾烯醇都具有较好的市场前景。随着科学技术的进步和生产制造成本的降低,以医药和兽药活性成分为先导化合物进行创制开发有望得到全新农药,如基于兽用杀细菌剂创制得到了高效农用杀菌剂氟喹菌酯;而对已报道的化合物进行生产和应用开发也有望获得成功,如具有更低生产成本和更高击倒作用的flumetnicam、具有更高安全性和杀菌杀线虫活性的氧线威。另一方面,作为细分市场的杀螨剂、杀线虫剂和抗病毒剂的研究开发值得继续关注。 

 

此外,2024年英文通用名获ISO批准公布的农药新品种中,中国创制品种占比高达53.3%,连续3年超过50%;就ISO英文通用名获批和专利申请时间差来说,中国企业对农化新品种的开发速度也更快。然而,通用名获批的中国创制农药多为对已有农药品种或化合物的局部修饰或直接开发应用,其走向国际市场并实现较高经济和社会效益的难度还较大。 

 

展望未来,应进一步加强对这些农药新品种的研究开发和应用推广。一方面,加强原药和制剂的研究开发,通过路线优化、工艺改进、生产集约和配方升级等措施提高产品品质而降低生产成本。同时,加强农药创制投入及理论和方法的创新,不断探索新的作用靶标和先导化合物,引入人工智能辅助研究设计,持续研发具有全新化学结构和作用机制的、符合法规和未来可持续发展要求的绿色品种。另一方面,关注和监测靶标有害生物对抗性发生发展情况,并开展相关作用机制研究,通过与其他防治措施相结合、与其他农药混用或轮换和引入增效剂等措施实现减量增效的有害生物综合治理和抗性管理。同时,根据产品特性积极探索与之相适应的配套实践技术并加以应用,在确保作物、环境和生态安全的前提下不断发掘新品的竞争优势,广泛开展田间试验与示范、应用培训与推广,使其成为解决农业种植痛点难点、作物提质增产和农民增收的可靠工具。



上一篇:氯虫苯甲酰胺等百余种原药行情

下一篇:草甘膦:市场开工率维持高位,原药企业挺价意愿强

发表评论:

评论记录:

未查询到任何数据!
返回顶部